번아웃 증후군의 사회적 확산과 정신건강 인식 변화

한국 사회의 번아웃 문제 해결을 위해 정부는 법적 보호 장치 강화와 무료 상담 서비스 확대, 기업은 유연근무제 도입과 성과 평가 방식 개선 등 조직 차원의 변화를 모색해야 한다. MZ세대 중심의 정신건강 중시 문화를 계기로 개인-조직-사회 협력 체계 구축이 시급하며, 번아웃 예방을 위한 조기 개입 시스템과 전문 상담 서비스 접근성 제고가 필수적이다.
MZ세대의 정신건강 관리 전략과 디지털 네이티브 특성

MZ세대의 정신건강 중시 현상은 단순한 트렌드를 넘어 사회 전반의 가치관 변화를 예고하고 있으며, 이에 대한 체계적인 대응 체계 구축이 시급하다. 정부는 정신건강 서비스 접근성을 높이기 위해 메타버스 기반 상담소 확대와 정신건강 전문인력 양성 정책을 강화해야 하며, 기업은 유연근무제 도입과 더불어 정신건강 휴가 제도를 법적 의무사항으로 전환할 필요가 있다. 특히 MZ세대가 선호하는 디지털 기반 정신건강 관리 솔루션에 대한 연구개발 투자를 확대하고, 세대 간 이해 증진을 위한 교육 프로그램을 개발함으로써 조직 내 정신건강 문화를 정착시켜야 한다. 이러한 다층적 접근을 통해 한국 사회는 정신건강을 개인의 책임에서 사회적 자산으로 인식하는 새로운 패러다임으로 전환할 수 있을 것이다.
기업 차원의 정신건강 지원 프로그램 확대와 사례 분석
한국 기업의 정신건강 지원은 단순한 복지 차원을 넘어 조직 경쟁력의 핵심 요소로 자리매김하고 있다. 향후 정신건강 관리 시스템은 AI 기반 개인화 솔루션과 실시간 모니터링 기능을 강화하며, 정부-기업-의료기관 간 협력 체계를 구축해야 한다. 특히 경영진의 적극적 참여와 프로그램 효과 측정 체계 마련이 시급하며, MZ세대 직원을 위한 디지털 네이티브 친화적 접근이 필수적이다.
정부 정책과 사회적 인프라 구축 현황

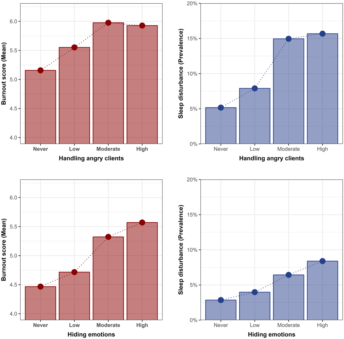
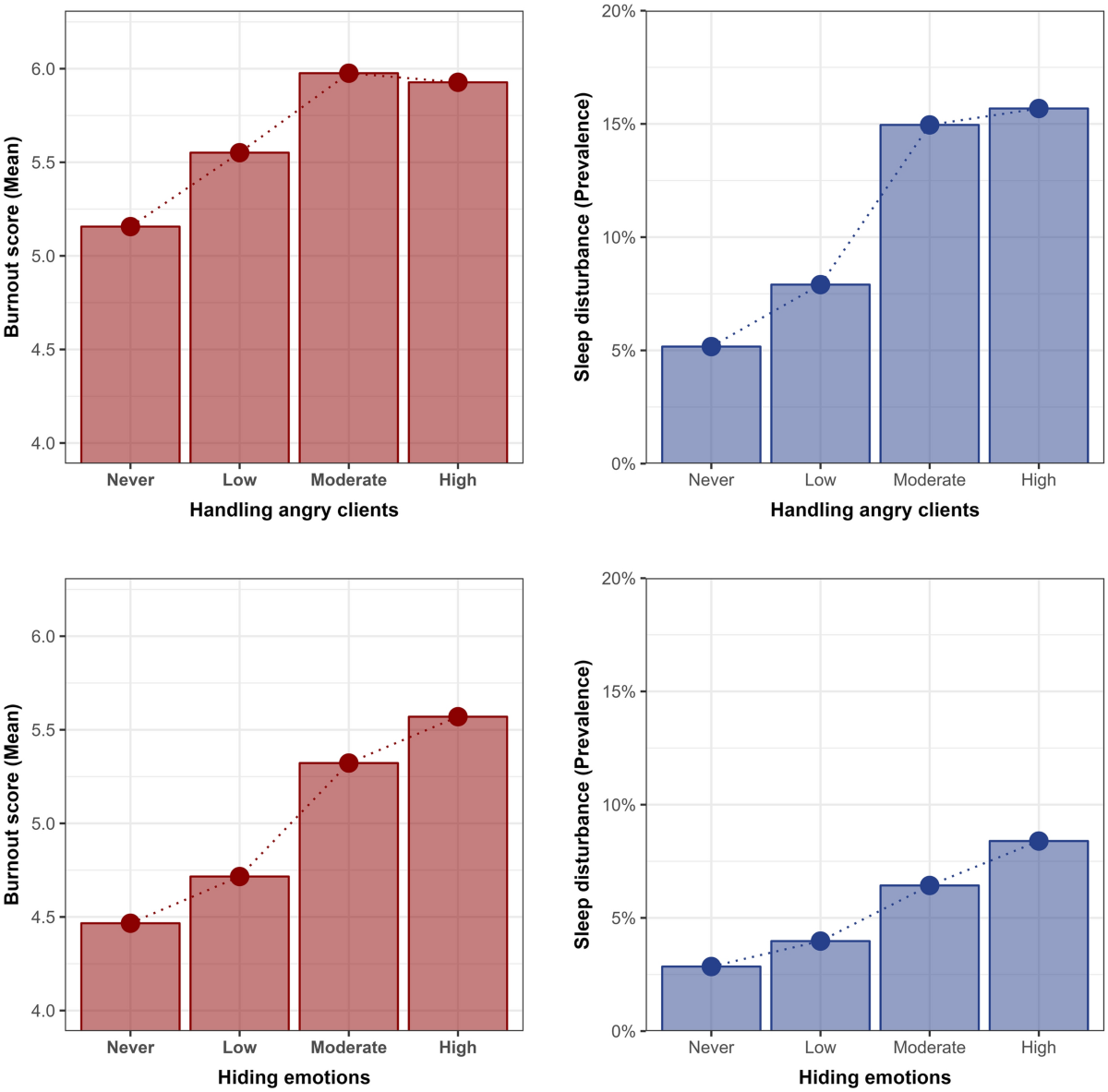
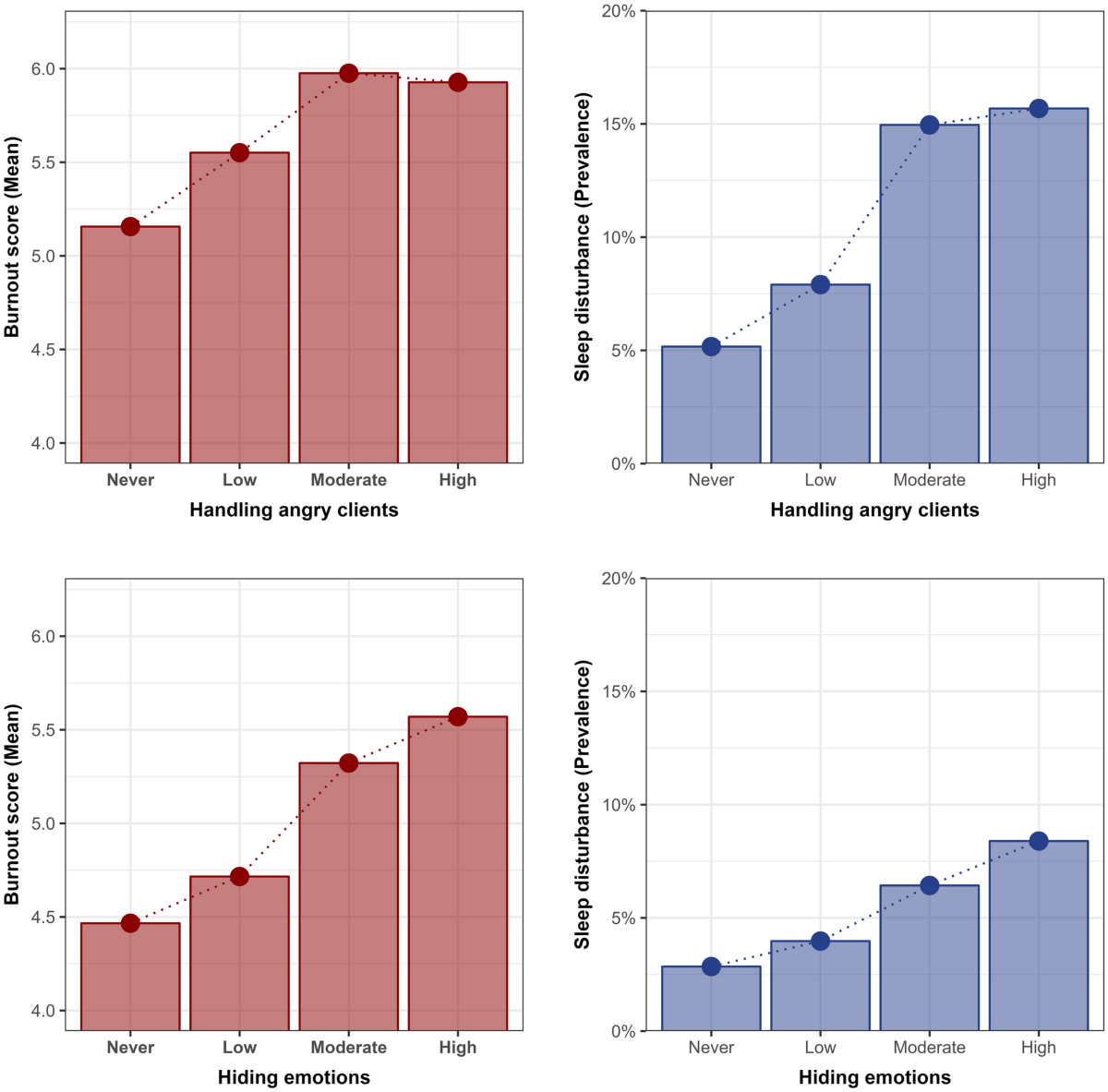
한국 사회의 정신건강 문제는 단순한 개인적 차원을 넘어 사회 전반의 구조적 문제로 대두되고 있으며, 이에 대한 체계적인 대응 체계 구축이 시급한 상황이다. 2024년 국민 정신건강 지식 및 태도 조사 결과에 따르면 정신건강 문제 경험률이 73.6%로 2022년 대비 9.7%p 증가했으며, 특히 심각한 스트레스(46.3%), 수일간 지속되는 우울감(40.2%), 기타중독(18.4%) 등이 10%p 이상 급증한 것으로 나타났다. 이러한 통계는 정신건강 문제의 확산을 시사하는 동시에 기존 정책의 한계를 드러내는 중요한 지표로, 정부는 예방-치료-회복 전 단계에 걸친 종합적 접근이 필요하다. 특히 정신건강 서비스 이용 방법을 아는 비율이 27.9%에서 24.9%로 감소한 반면, 정신건강 문제 경험 시 전문가 대신 가족 및 친지(49.4%)에게 도움을 요청하는 경향이 두드러진 점은 사회적 낙인과 서비스 접근성 문제를 동시에 반영하고 있다.
정신건강 위기 극복을 위한 종합적 접근 방안
한국 사회의 정신건강 위기 극복을 위해선 개인-조직-사회-정부의 종합적 협력이 필수적이다. 개인 차원선 번아웃 초기 증상 인지와 자기관리 전략 수립, 조직선 업무 환경 개선과 EAP 프로그램 강화, 사회선 낙인 제거와 긍정적 담론 형성이 필요하다. 정부는 법제도 정비와 예산 확대, 디지털 기반 혁신적 해결 방안 모색, 정신건강 교육 체계화에 주력해야 한다.
미래 전망과 정책 제언
한국 사회의 정신건강 중시 현상은 단순한 트렌드가 아닌 구조적 변화의 시작점으로, 번아웃 증후군의 산업재해 인정 법제화와 예방 중심 정책 전환이 시급하다. AI 기반 개인화 서비스와 메타버스 플랫폼을 활용한 디지털 헬스케어 확대를 통해 접근성과 정확성을 동시에 제고해야 한다. 정부는 정신건강복지센터 예산 30% 증액과 중소기업 세제 혜택 도입으로 기업 참여를 유도하고, 초중고 정신건강 교육을 의무화해 조기 인식 개선에 나서야 한다. 또한 미디어 콘텐츠를 통한 사회적 낙인 해소 캠페인은 2024년 조사에서 나타난 부정적 인식 감소 추세를 가속화할 핵심 전략이다.